97年中和高中數學科教師甄試考古題

#點圖片,看解法!

 

一.填充題

1.

0001.jpg

2.

0002.jpg

3.

0003.jpg

4.

0004.jpg

5.

0005.jpg

6.

0006.jpg

7.

0007.jpg

8.

0008.jpg

9.

0009.jpg

10.

0010.jpg

11.

0011.jpg

12.

012.jpg

13.

13.jpg

14.

1633578837287.jpg

二.計算證明題

1.

1633578573305.jpg

2.

1633578409974.jpg

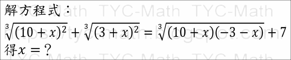
3.

1633578731655.jpg